Materialsdata validation and imputation with an artificial neural
network
P.C. Verpoort , P.MacDonald, G.J. Conduit
ComputationalMaterials Science. 2018, 147
DOI:10.1016/j.commatsci.2018.02.002
摘要
应用人工神经网络来模拟和验证材料性能。在训练和预测中神经网络算法具有独特的处理不完整数据集的能力,因此可将性能作为输入,研究成分-性能和性能-性能关系来提高预测的质量,也可以作为单一实体的图形数据处理。使用多种验证方案对该框架进行测试,然后将其应用于合金和聚合物的材料实例研究。通过与数据源对比确认,该算法在商业材料数据库中发现了二十个错误。
关键词
材料数据,神经网络,合金,聚合物
结论
我们开发了一种人工智能算法,并将其扩展到处理不完整数据,功能数据,并量化数据的准确性。我们验证了数据模型的性能,以确认该框架在错误预测、不完整数据和绘图能力的测试中提供预期结果的能力。最终我们将该框架应用到现实中的MaterialUniverse和ProspectorPlastics数据库,展示了该方法带来的显著效果。
值得一提的是,我们能够提出和验证错误的输入数据;给出未知因素预测的外推改进,这些未知因素是因为材料成分和制造中的数据缺失产生的;并通过识别不同应用中的非显形描述符来帮助表征材料的性能。因此,我们能够展示人工智能算法如何为工业应用中的研究、设计和选择材料方面做出重大贡献。
文章部分附图
图1 人工神经网络(ANN)用于插值材料性能数据集。图片展示了如何从所有输入的xi计算得到输出的y1(上)和y2(下)。对于所有其他yj,可以绘制1~2个类似的图来计算所有的预测性质。给定性能(红色)的线性组合(左边的灰色线)是由隐藏节点(蓝色)确定的,应用非线性tanh操作,线性组合(右边的灰色线)作为预测性能返回(绿色)。

图2:如果我们需要使用存在一些性能数据丢失的数据点x来评估ANN,采用如下图的过程进行描述。

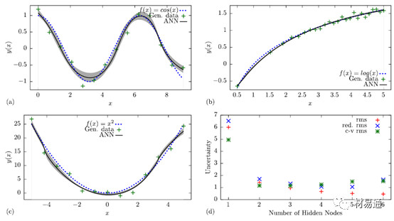
图3 toy模型的人工神经网络训练(a)余弦函数,(b)具有不均匀分布数据的对数函数,(c)高斯噪声下的二次函数,(d)二次函数,测试具有不同数目的隐藏节点的性能,并计算和绘制RMS(Eq.5)、降低RMS(Eq.6)和交叉验证RMS。

图4:蓝虚线:生成数据的二次曲线。 红色/绿色点:由蓝色噪声产生的数据点,高斯噪声有/没有被识别为错误。黑线:具有不确定性的模型的修正。生成的数据的高斯噪声与toy模型函数的值成比例。观察到在曲线的右端有少量点被识别为错误,因为人工神经网络的确定性在该区域较低。

图5 不同x值的训练数据、真实函数和神经网络预测函数

图6:玻璃纤维填料(蓝色)和矿物填料(红色)的聚合物拉伸模量vs密度图。,输入信息不仅包括填料类型,还包括填料量(重量%)。

标签:
Copyright © 2017-2024 江苏隐石实验科技有限公司 All Rights Reserved 备案号:苏ICP备2021030923号-2
苏公网安备32020502001473 技术支持:迅诚科技